«  第 6 首  »
唱诗人4卷─答应得胜的呼召
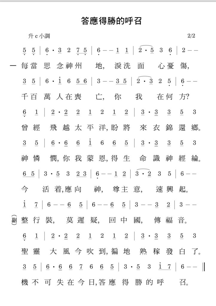
文本 Mp3 打印
歌谱加载中...
回到顶部