«  第 149 首  »
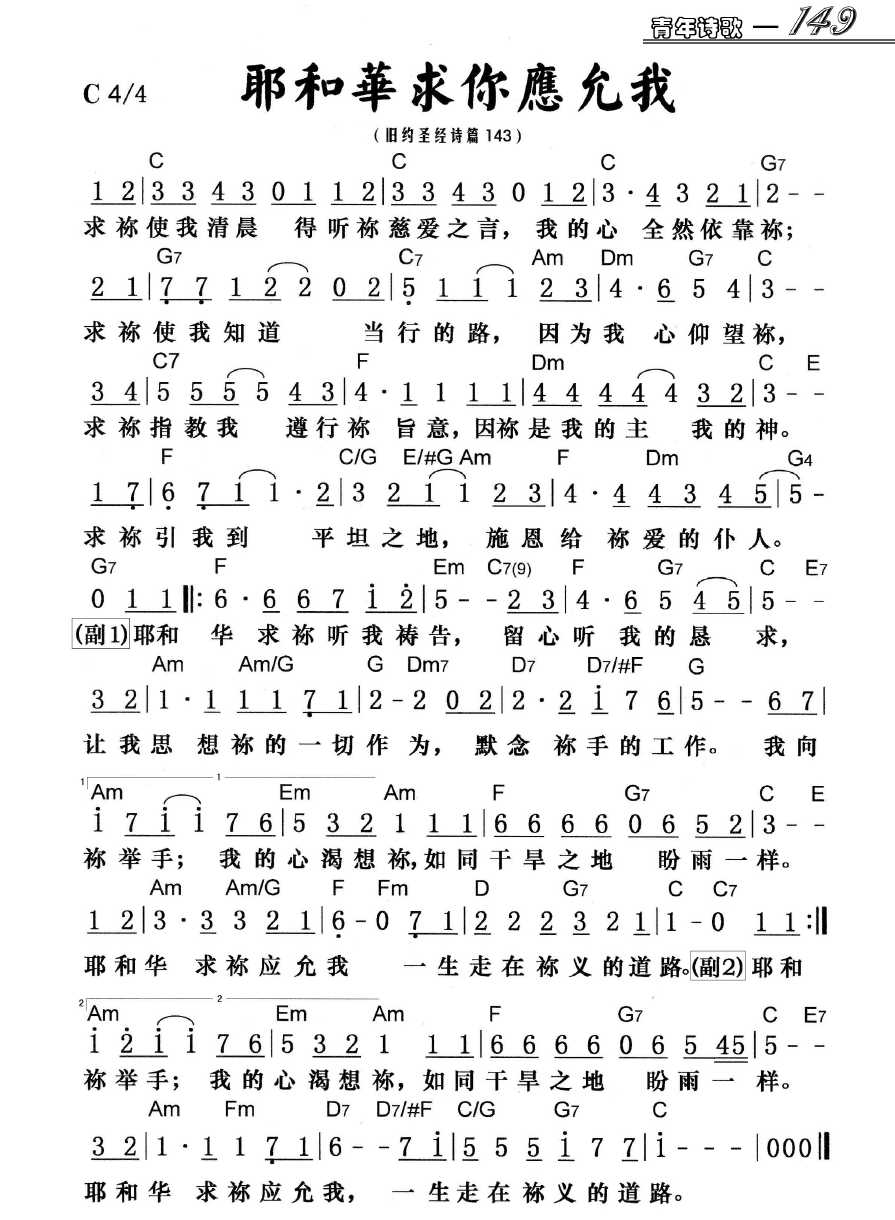
青年诗歌─耶和华求你应允我
文本 打印 投影
歌谱加载中...
回到顶部